近日,我校物理科学与技术学院计算物质科学团队副教授赵文辉、孙运祥携手美国内布拉斯加大学林肯分校曾晓成讲席教授和宾夕法尼亚大学Joseph S. Francisco讲席教授(美国科学院院士),在纳米限域环境内离子水溶液研究方面取得重要进展,相关研究论文以“Two-dimensional monolayer salt nanostructures can spontaneously aggregate rather than dissolve in dilute aqueous solutions”为题在《Nature Communications》在线发表,宁波大学为第一单位。
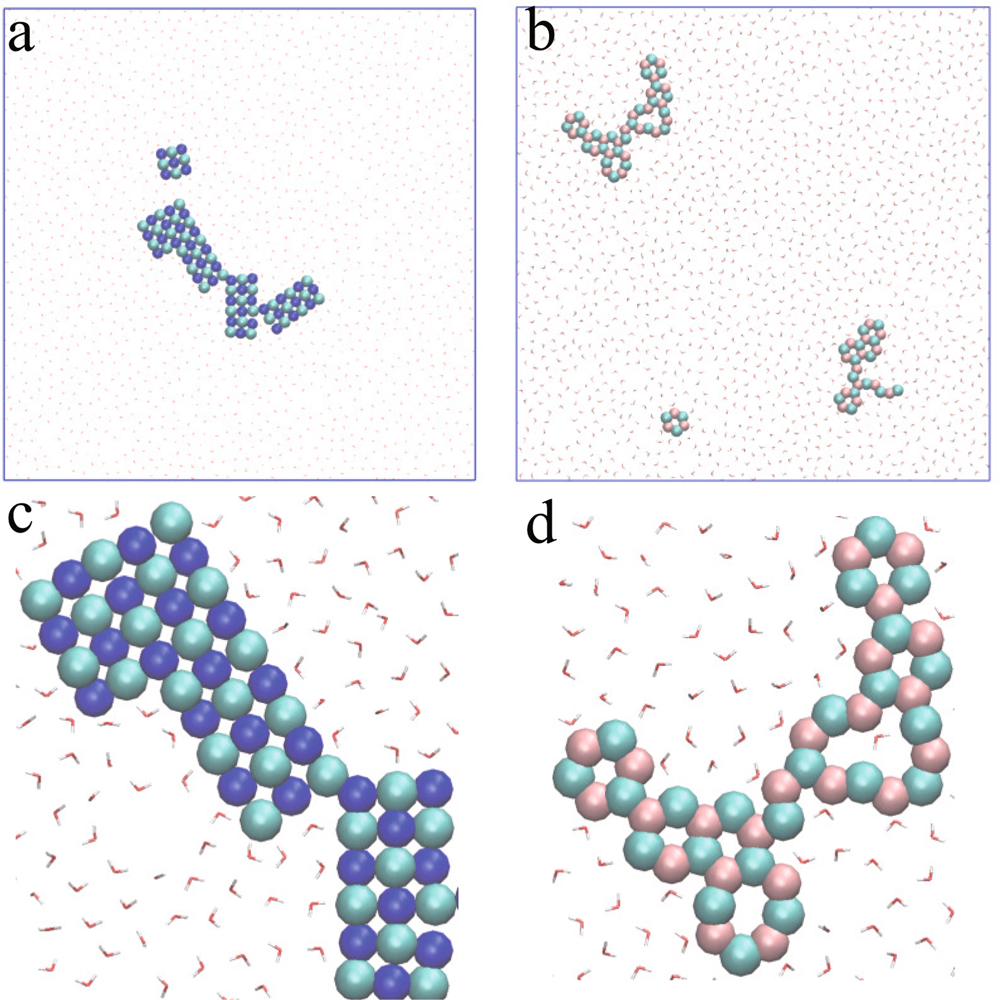
纳米限域环境内受限流体表现出不同于宏观体系的结构和动力学特征,在能源、环境和健康等领域具有重要应用,近年来引起科学家和工业界的广泛兴趣。针对盐溶于水这一极为常见的现象,我校计算物质科学团队采用经典分子动力学模拟和从头算分子动力学模拟相结合的手段,对纳米孔隙内盐溶液的结构和动力学行为进行研究。发现了离子在低浓度溶液中自发结晶这一反直觉的现象。模拟结构表明:NaCl纳米晶呈现单层四边形结构,而LiCl纳米单层由六边形和锯齿状链组成。通过自由能分析,我们发现纳米受限空间破坏离子的水合层,从而驱使离子自发聚集成核。
这项研究进一步加深了人们对纳米限域环境内离子水溶液结构和动力学行为的理解,为开发利用纳米多孔材料在离子输运、海水淡化及离子电池等应用方面提供了理论支持。
该论文中,赵文辉、孙运祥和中国科学技术大学朱卫多副研究员为共同第一作者,曾晓成讲席教授和Joseph S. Francisco讲席教授为共同通讯作者,合作者还有计算物质科学团队段香梅教授、许文武教授、林冬冬博士和美国内布拉斯加大学江健博士及宁波大学硕士研究生赵晓荣。本工作得到了国家自然科学基金和浙江省自然科学基金支持。
论文链接:
